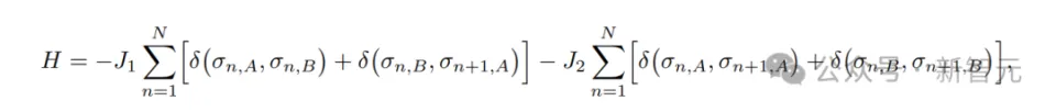
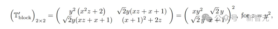
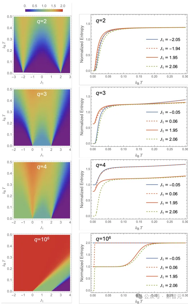
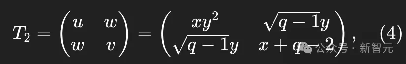
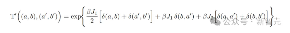
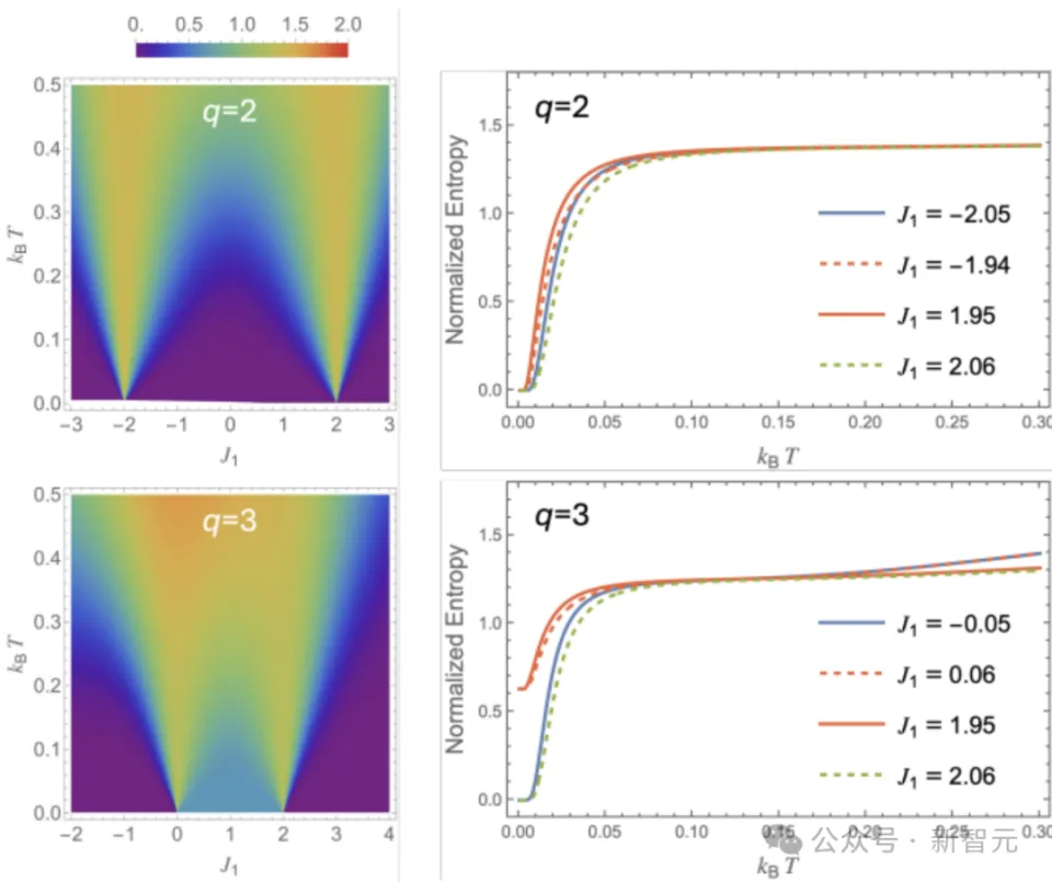
新智元报道 【新智元导读】AI辅助人类,完成了首个非寻常研究数学证明,破解了50年未解的数学难题!在南大校友的研究中,这个难题中q=3的环境,由o3-mini-high给出了正确解。就在刚刚,AI完成了首个非寻常研究数学证明! 完成这项研究的,是美国纽约布鲁克海文国家实验室凝结态物理与质料科学分部的一位华人学者Weiguo Yin。 论文地点:https://arxiv.org/abs/2503.23758 在这项研究中,作者在一维J_1-J_2 q态Potts模子,通过引入最大对称子空间(MSS)方法,对其正确求解。 具体来说,作者将q^2×q^2的传递矩阵举行块对角化。 而q=3的环境,正是基于OpenAI的最新推理模子o3-mini-high来正确求解的。 在AI的资助下,研究者成功证明,模子可以映射为一维q态Potts模子,此中J_2作为近来邻相互作用,J_1则作为有效的磁场,这一结果扩展了之前在q=2,即Ising模子的证明。 留意,这个标题,在数学界有50年没有解决。 论文引用了关于J_1J_2伊辛模子(即q=2的Potts模子)的工作,这些工作可以追溯到1969年和1970年。 而o3-mini-high帮助完成的这项证明,为浩繁悬而未决的物理标题(层状质料中原子或电子次序堆叠的标题,以及非通例超导体中常见的T_c-拱形相的形成等),提供了全新的看法。 AI模子在科学研究中的巨大潜力,也再一次被证明! Weiguo于2004年加入布鲁克海文国家实验室继承研究员,并于2006年提升为助理物理学家,2008年提升为副物理学家,2011年提升为物理学家。 他的专长在于联合第一性原理、有效哈密顿量和呆板学习方法,研究强关联体系、挫败磁性、超导性、多铁性、混合的3d-5d化合物、拓扑质料和非均衡态。 1998年,他得到南京大学的博士学位,并荣获2000年国家良好博士学位论文奖。 在凝结态物理、质料科学、量子信息学和微电子学等研究范畴中,发现新的相和相变是一个核心挑衅。 挫败磁体中存在很多不寻常的相,这些磁体通常用伊辛模子(Ising model)或量子海森堡模子(quantum Heisenberg model)来形貌。 统计力学的第三个根本模子是q状态Potts模子。 它是伊辛模子(q=2)的推广,可以作为研究从离散(伊辛)对称性到连续(海森堡)对称性转变的有效中介。 特别是,一维J_1-J_2 Potts模子可能与浩繁标题相干,这些标题涵盖了从层状质料中原子或电子有序的面外堆叠,如1T-TaS_2 中的「大卫之星」电荷密度波,到每个时间步都有多种选择的时间序列标题,如乒乓球训练计划。 1T-TaS2中的「大卫之星」电荷密度波相干论文插图 只管一维和二维的J_1-J_2伊辛模子和海森堡模子已被广泛研究,但只有一维J_1-J_2伊辛模子通过转移矩阵法得到了正确解。 对于一维J_1-J_2 Potts模子,至今仍没有正确的剖析解。 由于当q=3时,该模子已经显现出与q=2(即伊辛模子)差别的基态相活动(见下图),因此正确求解恣意q的模子具有根本性的重要性。 q=2和q=3:差别的基态相活动 挑衅在于转移矩阵的阶数敏捷增长,阶数为q^2。 可想而知,q=3时的9×9矩阵已经很难举行剖析求解,而q=10^10时的10^10×10^10矩阵,纵然是数值盘算也无能为力。 先前的研究将任务转化为数值盘算有效的q×q矩阵,接纳整数q情势的转移矩阵法,或连续q情势的转移矩阵。 只管物理学的透明度较低,但仍旧无法得到正确的剖析结果。 因此,对于一维J_1-J_2 Potts模子,至今仍旧缺乏此中丰富相活动的直观明确。 近来的两个发展为这一恒久未解标题提供了新的视角。 第一个发展是通过基于对称性的块对角化,将装饰伊辛梯形的4×4转移矩阵简化为有效的2×2矩阵。 这些发现为一维挫败Potts模子找到正确解,可能成为这一重要新方向的里程碑。 第二个发展是OpenAI最新的推理模子o3-mini-high,推导出了一个优雅的方程,在外部磁场下,可以确定装饰伊辛模子中UNPC的临界温度。 论文链接:https://arxiv.org/abs/2502.11270 因此,作者受到开导,徐徐提示AI推理模子,行止理整数q情势的转移矩阵。 只管AI的答复中有不少错误,针对q=3的环境,终极找到了一种基于对称性的块对角化方法,可以将一维J_1-J_2三状态Potts模子的9×9转移矩阵剖析地简化为有效的2×2矩阵。 对于一样平常的q,关键的对称性是q个Potts状态的全分列对称性。 换句话说,哈密顿量(因此在整数q情势中的转移矩阵)在任何对标签{1,2,3,...,q}的分列下都是稳固的;它的对称群是Sq。 固然AI未能进一步推进,但告诫说随着q的增大,分列的数量急剧增长。 然而,q=2和q=3的正确结果,特别是两者都归结为2×2矩阵,开导了作者: 由于在热力学极限下只有转移矩阵的最大特征值(λ)才重要,因此任务简化为辨认包罗λ的对称分离子空间。 随后,作者发现这个子空间由两个最大对称向量张成,由于全部转移矩阵元素都是正的,这使得终极得到了一个剖析的2×2矩阵。 因此,恣意q的一维J_1-J_2 Potts模子的正确解,就这样被找到了,而且过程出奇的简朴! 下面我们就来看看,o3-mini-high是如安在这项研究中推导出关键方程,对q=3的环境正确求解,从而确定了装饰伊辛模子中UNPC的临界温度的。 起首,o3-mini-high证明,根据其知识,1D J_1-J_2 Potts模子尚未被正确求解。 接着,模子被提示使用1D J_1-J_2三态Potts模子的之字形梯形版本。 在这种环境下,AI正确地给出了以下哈密顿量表达式: 随后,AI正确地天生了以下传递矩阵的表达式。 此中,(a, b)是由一对自旋组成的「梯级」状态,(a', b')是相近梯级状态。 假设一组梯级状态按以下次序分列:(1, 1), (1, 2), (1, 3), (2, 1), (2, 2), (2, 3), (3, 1), (3, 2), (3, 3)。 若使用简写符号,则传递矩阵可以明确地表达为如下情势。 对于上面这个T'矩阵,AI被提示说,一定要确保 然后,AI被提示将T'举行块对角化。 它发现,T'可以通过变更下列这个矩阵来举行块对角化,从而得到 因此,得到的块对角化传递矩阵的前2×2块由 给出,其较大的特征值是λ,即传递矩阵T'的最大特征值。 末了,AI被提示天生上述对话的原生Wolfram Mathematica 14.2代码。 这个任务在几秒钟内就完成了,险些不需要修正。 然而,AI却未能天生实用于一样平常q的可用Mathematica代码。 相反,它告诫说,随着q的增长,S_q对称群中的分列数会急剧增长。 当被进一步要求时,AI创建了一些假Mathematica函数,并体现「这些函数可能值得实现」。 思量以下哈密顿量[图1(a)]: 为了构建转移矩阵,研究者使用了重叠对的情势化方法来处理方程(1),每个单位格有一个自旋,得到转移矩阵T。 同时使用该模子的等效锯齿梯形体现,此中每个单位格有两个自旋来得到T′。 而且要满意T′=T^2。 在热力学极限N→∞时,配分函数为 此中λ是转移矩阵T的最大特征值。 每个自旋的自由能由下式给出: 此中,β=1/(k_BT),T是绝对温度,k_B是玻尔兹曼常数。 由此得到的变更矩阵是一个q^2×2矩阵,它将q^2×q转移矩阵T投影到与别的部门解耦的2×2块矩阵T_2,而且该矩阵由于差别的对称性,得到如下方程4: 需要留意的是,最大对称子空间意味着u、v和w的表达式可以通过组合分析直接得到。 转移矩阵T的最大特征值是T_2的较大特征值,为 方程(4)的简便性为明确一维J_1-J_2 Potts模子中的丰富相活动提供了直观的视角。 图1:(a)单链J_1J_2Potts模子的示意图和(b)其等效的锯齿梯形体现。图中的小球代表具有q个状态的自旋。橙色的键体现近来邻相互作用J_1,绿色的键体现次近邻相互作用J_2 为了深入明确这些丰富的相图,起首分析基态的相活动。 在T=0时,对于全部q值,一维J_1-J_2 Potts模子有三个相,这些相由两个临界点(CPs)分开,这些临界点由方程(4)中u、w、v的相对大小决定。 对于q=2(即伊辛模子),与q≥3环境有两个方面的差别: (1)q=2的两个临界点是对称相干的,位于J_1=±2,而对于q≥3,它们位于J_1=0和J_1=2。 (2)对于q=2,三个相没有宏观的简并性,而对于q≥3,存在一个或两个具有残余熵的非寻常状态。 图3总结了左侧和中央相以及两个临界点(CPs)残余熵的q依赖关系。 对于小的q,临界点的残余熵(虚线)显着大于相邻相的残余熵(实线)。 因此,每个临界点在J_1T相图中随着温度升高发展出V形区域(图2左,q=2,3,4)。 两个临界点的V形区域汇聚在一起,形成一个类似T_c圆顶的区域,代表q≥3的中央随机二聚化相。 当系统靠近临界点时,它并不遵循通例的征象——即转变到具有更高宏观简并性的相,而是转变到临界点发展的V形区域,这也在熵的T曲线中体现为平展区域(图2右q=2,3,4),此时熵值即是对应临界点的残余熵。 图2:q=2,3,4和10^6的相图 图2左:在J_1T平面上,归一化熵2S(J_1,T)/ln(q)的密度图。 图2右:在临界点附近,选定J_1值的2S(J_1,T)/ln(q)的温度依赖性。J_2=1被设定为能量单位。 另一方面,图3体现,对于大的q,临界点的残余熵(虚线)趋近于其相邻相的残余熵(实线),终极变得无法区分——不再有V形的临界点区域(图2左,q=10^6)。 图3:对于q≥3,在J_1的四个差别区域下,零温度归一化熵2S(J_1,0)/lnq的依赖关系 当系统靠近相界限时,它似乎遵循通例的征象,即转变到具有更高宏观简并性的相。 特别是,当J_1>2时,低温铁磁相将经历一个两步的相交叉:起首转变到中央的随机二聚化相,然后转变到左侧的顺磁相。 Tc圆顶黑白通例超导性(如铜氧化物、铁基超导体、扭曲双层石墨烯等)中的一个关键征象。 它已被表明为(i)一种预形成的有序状态,随着相位干系性的徐徐创建,或(ii)两种竞争相的结果。 现在通过q依赖性出现和消失的类似圆顶的结构,这一结构由相的两个临界点的残余熵的相对强度控制,为形成圆顶形相提供了另一种可能性。 总而言之,用简朴的话概括就是,一维J_1-J_2 q状态Potts模子得到了正确解,此中的关键在于发现q^2×q^2转移矩阵的最大特征值位于一个2×2的最大对称子空间。 而且维J_1-J_2 q状态Potts模子被证明与一维q状态Potts模子等价,此中J_2充当近来邻(NN)相互作用,J_1充当磁场。 模子的基态被发现包罗三个相,这些相由两个临界点分开,对于全部q值均云云。 两个临界点的残余熵的相对强度,随着q变大而变大。 对于小q和大q出现和消失的类似圆顶的随机二聚化相,新研究提供了一种新的形成圆顶形相的机制。 而这项研究之以是能完成,都是基于o3-mini-high正确解决了q=3的环境。 这也提示我们,AI提供的广泛信息中,能给研究者提供充实的洞察和鼓励,只管它的结论可能并不完美。 就在近来,诺奖得主、GoogleDeepMind CEO Demis Hassabis 评论AlphaFold时这样体现:通过AI,人类如今可以在一年内完成10亿年的博士研究时间。 可以想见,未来AI辅助做出的科研突破还将层出不穷。 |

专注IT众包服务
平台只专注IT众包,服务数 十万用户,快速解决需求

资金安全
交易资金托管平台,保障资 金安全,确认完成再付款

实力商家
优秀软件人才汇集,实力服务商入驻,高效解决需求

全程监管
交易过程中产生纠纷,官方100%介入受理,交易无忧

微信访问
手机APP