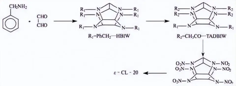
《军武次位面》作者:军武菌 在当今的俄乌战场上,恐怕困扰乌克兰最大的题目,就是炮弹不敷了。偶然间乌军一天都要打掉上万发炮弹,但是这斲丧速率远远凌驾美国的生产速率,如今美国的155毫米炮弹生产速率是最多每天2000发,根本不敷乌克兰用,搞的美国都被迫要买韩国炮弹了。 有人会奇怪,美国军工不是很锋利吗?怎么连炮弹都不敷? 着实吧,炮弹生产轻易,但内里的炸药难,如今美国高爆炸药、导弹推进剂中有约莫六种化学物质严肃依赖中国入口,而中国出口的炸药和原质料每年是有限的,反映到生产端,就是炮弹产能不敷了。 那么,中国到底把握了什么焦点科技,让美国都依赖中国炸药? 提及炸药,大概许多人以为诞生在中国,但着实中国发明的只是炸药,和炸药是有区别的。 固然炸药也能制造爆炸,但其做功方式差别,炸药是燃烧做功,炸药是爆炸做膨胀功,简朴的说,炸药爆炸是高温点燃后开释能量,炸药的爆炸是打击波打断炸药分子链引起化学键断裂而忽然开释的能量。 表如今作用过程,我们一样平常称爆燃或燃烧的为炸药,产生爆轰的为炸药。 炸药的爆速一样平常比力慢,好比黑炸药爆速是700米/秒,无烟炸药爆速是2000米/秒,这玩意拿来当发射药还行,但拿来搞爆炸,就必须想办法安置在密闭空间才可以。好比当年清静军攻打南京,先是把炸药包放在南都城下,但点燃后只是请清军看了一场烟花秀,根本没爆炸,末了不得已挖了一条隧道,在城墙下的隧道里埋炸药才炸墙乐成。 这个原理大概许多小同伴也切身试验过,好比军武菌当年把鞭炮药剥出来,摊在地上点燃只会燃烧冒一股烟,而塞进钢笔帽点燃才会爆炸。 以是各国不绝都在琢磨,有没有一种在开阔环境中点燃就能爆炸的炸药呢?有! 1771年英国人沃尔夫用浓硫酸、浓硝酸处理惩罚苯酚,生产出了三硝基苯酚,发现它有很好的染色作用,于是就开始大规模生产,用作黄色染料,当时称之为苦味酸。 但是厥后,一场灾难改变了这种染料的用途。 在巴黎郊区的一个染料市肆,一桶苦味酸由于铁桶生锈无法打开,老板拿铁锤暴力开箱,没想到一锤下去,铁桶竟然爆炸了,现场伤亡惨重。 染料会爆炸?这件事很快引起了军方的注意,颠末研究发现,苦味酸具有很强的爆炸威力,而苦味酸和铁桶的铁锈又会发生反应产生苦味酸盐,这种苦味酸盐对震动非常敏感,肯定水平上充当了雷汞的引爆药作用。 很快,法国和英国军方开始把苦味酸作为炮弹添补物,并定名为黄色炸药。日本随即也跟上,日本工程师下濑雅允配制乐成了以苦味酸为重要身分的烈性炸药,定名为下濑炸药,并在全天下率先应用于水师。这种炸药非常敏感,炮弹即任务中微小的绳索都能引发爆炸,而且爆炸后能产生上千度的火焰,钢板都能烧化,同时还会产生黄色毒烟,杀伤作用非常强。 这种炸药在甲午海战时,对还在使用黑炸药和栗色炸药(到场水汽钝化处理惩罚的黑炸药)的北洋水师形成了降维打击,北洋水师每中一炮就会遭到重创,就算没穿透装甲也能让炮手中毒,汗青记录的丁汝昌受伤后“两眼不能睁开,日流黄水,脚日渐肿,皮肉发黑,疼痛非常”的表现,显然就是下濑炸药产生的火焰和毒烟的效果,而不是摔伤。 但是,苦味酸固然威力大,但并不符合安全要求,由于苦味酸轻易与弹体金属反应,产生感度很高的苦味酸盐,以是时常发生弹药的不测爆炸,造成爆炸变乱,以是许多国家开始研究威力又大又安全的炸药作为苦味酸的更换品,也就把眼光投向了1847年发明的硝化甘油。 硝化甘油是一种烈性液体炸药,威力很大,但缺点也同样显着,那就好坏常不稳固,摔一下炸了,碰一下炸了,以致遇到静电也会爆炸,伤害隐患极大。 这个时间,诺贝尔脱手了,诺贝尔以兄弟被炸死,本身被炸伤为代价,试验乐成了用硅藻土吸附硝化甘油制成的安全炸药----达纳炸药,由于硅藻土不怕碰撞,大大进步了安全性。自此,人类才真正找到了一款安全和威力相平衡的第一代炸药,而诺贝尔也因此被称为炸药之父。 但是题目又来了,办理了威力和安全性之后,资源又被摆上了台面上,究竟战役和开矿必要的炸药都是海量的,假如炸药太贵,谁用得起? 1863年,德裔化学家J.威尔勃兰德发明白“三硝基甲苯”炸药,也就是我们熟知的TNT炸药。 着实从威力来说,TNT并不精彩,爆炸威力只有硝化甘油的70%左右,爆速只有6900米/秒,不如硝化甘油的7700米/秒,但是TNT的综合性能最好,好比它生产不必要多高的化工装备,有根本的煤化工技能就行,资源非常低,大批量生产的话一公斤只必要人民币十几块钱,而且相称安全,湿润、高温高寒的恶劣天气条件下仍旧非常稳固,你把它锯成两半、扔进火里烧,以致被子弹击穿,都不会爆炸。 以是TNT也成为了第二代炸药之王,成为人类汗青上到如今为止,装填弹种最多的炸药。以是我们如今权衡爆炸的威力,岂论是核爆炸照旧其他爆炸,都是用相称于“XX吨TNT炸药”为单元,足可见TNT的职位。 到了1899年,第三代炸药诞生了,德国药物专家亨宁发明出了一种白粉末状的结晶体——“环三亚甲基三硝胺”,也就是厥背景甫鼎鼎的黑索金。 这种环三亚甲基三硝胺一开始是被作为老鼠药使用的,但很快就发现了其作为炸药的潜力,只是当时人们注意力都会合在苦味酸和TNT上,黑索金制备技能又不成熟,以是并没有被大规模当做炸药使用, 效果到了20世纪30年代,二战如饥似渴,人们尴尬地发现TNT的质料甲苯依赖于煤焦油或石油,很轻易由于质料的堵截而停产,这时间,制备更为轻便的黑索金就成烈?国研发的重点,黑索金的优点是质料完全取自氛围、水和煤,不受地域、资源的限定,只要有技能条件,任何国家都能生产,以是黑索金开始在二战中大行其道。 ▲“铁拳”的装药叫塞克洛托儿,着实就是黑索金和TNT的熔铸肴杂炸药 黑索金性能优于TNT和苦味酸,爆速到达了8600米/秒,被称之为“旋风炸药”,是当时最好的高能炸药。特别是到了核武器期间,一样平常的TNT炸药爆速和能量都达不到核弹起爆要求,只有黑索金能到达,以是黑索金当仁不让地成为了核武器的引爆药,也让黑索金成为了第三代炸药的代表。 但是,黑索金诞生后的几十年,炸药研究似乎和今世物理学一样撞上了智子锁死,进入了发展瓶颈期,炸药范畴的百花齐放再也不见了,固然也有一些新炸药诞生,但根本都是换汤不换药,好比C4就是胶塑性的黑索金,再好比奥克托金HMX“环四亚甲基四硝胺”,也只不外是从乙酸酐法制得的黑索金中分离出来而已,性能比黑索金好一点,但好的有限。 这种环境,不绝连续到70年代第四代炸药CL20的诞生。 二战后的几十年,黑索金作为天下炸药的王者职位始终无法撼动,新一代炸药的研发也困难重重。 这时间,曾经为中国核武器研发出第一代引爆药的炸药专家于永忠以为,传统的平面环状分子结构的炸药,已经发展到了极限,要想进步炸药威力,那么就只能把平面变立体,由环状结构酿成笼状结构,如许才有将来。 这一理论,为单质炸药研究带来了革命性的引导方向。1979年,于永忠起首合成出了天下上第一种笼形结构的单质炸药797#,验证了本身理论的大概性,并提出假如把797#的4个氧原子转化为4个N-NO2,威力会更大。 看到于永忠的论文后,美国也熟悉到了笼状结构的巨大潜力,于是也开始研究这种新式炸药,1987年,美国科学家尼尔森制成了六硝基六氮杂异伍兹烷,由于他的实行室位于美国水师武器试验基地“中国湖”(China Lake),以是这种新炸药被给了一个“中国湖20号化合物”的名字,简称CL-20。 ▲美国技能蹊径 CL-20的最大爆速到达了惊人的9500米/秒,爆压、密度等几个质料参数都优于奥克托今,爆炸威力是TNT的3倍,说它是一种革命性的炸药也不为过。 不要低估炸药的革命对军事工业带来的意义,有了CL20,在类似装药量的环境下,新的导弹威力将比平常导弹威力更剧烈,对付加固机堡、地下掩体等目标时可以更轻松。 同时,导弹装药还可以用较少的CL20实现类似效果,减小导弹体积和重量,增长携弹量大概塞进隐身战机。更锋利的是,CL20还可以用于导弹推进剂,无论速率和射程都要迈上一大步。就连核武器,假如使用新式炸药作为引爆药,也可以带来全新的爆炸效果! 但CL20同样存在很大题目,固然性能好,但太难制造了!从实行室产物到量产产物存在很大门槛。究竟炸药究竟是斲丧品,可美国的CL20不绝没有实现大批量低资源生产,如今也只能在实行室少量制备,造价一千克一开始要数万美元,近些年才降到1000美元。可如今哪个导弹不装个几百公斤炸药?1000美元一千克的炸药谁使得起? 但是,这个题目在中国,已经不存在了。 中国在90年代按照于永忠的技能蹊径合成乐成CL-20之后,就开始了对合成工艺的不懈探索,颠末研究,先是欧育湘创造了“一锅法”,实现1公斤级合成本领,然后赵信岐创新探索合成工艺蹊径,终极形成了工业化生产关键技能,在美国技能保密的环境下,探索出了中国式的工艺蹊径! ▲中国技能蹊径 中国完成工业化量产之后的CL20有多自制?一公斤只有几百元!只有美国生产资源的十几分之一! 更关键的是,中国的CL20已经实用化,开始应用于武器装备,而美国的CL20却不绝处在实行室状态,缘故原由也很简朴,没有办理安全性题目。 要知道,固然CL20威力大,但相对奥克托金HMX,安全性大幅度降落,摩擦感度只有HMX的40%,撞击感度也只有HMX的一半多点,这就意味着其安全性的大大低沉,再加上其超高的威力,一旦发生变乱,效果不堪假想。 对此,中国北理工的庞思平团队另辟蹊径,合成了三维MOFs质料,将敏感的氮原子和金属原子被包覆起来,大大低沉了敏感度,进步了安全性,终于实现了CL20这种炸药之王的武器化使用之路。 2016年,实用化CL20的课题“新一代含能质料研究及其工程化”荣获2015年度国防科技进步特等奖。要知道,连电磁弹射技能也只不外是一等奖,而CL20竟然获了特等奖,可想而知CL20给中国队伍带来的革命性变革了。 不外这时间美国人酸了,原来中国的CL20和美国的CL20是完全差别的技能蹊径下的产物,但美国炸药专家 Bob Kavetsky却表现,中国这种炸药技能现实上来自美国,美军假如与解放军交锋,大概会被本身的技能打败!而且打得很惨! 美国人这么说,无非是由于而且中国的CL20更精良罢了,然而美国人没有说的是,着实美军各种导弹炸弹使用的炸药和推进剂,有不少原质料都依赖从中国入口,美国国防部专程为此发布过观察陈诉,美国火炸药行业有198家2级、3级供应商,此中有98%的质料来自中国。 好比乌克兰战场上的标枪导弹,其推进剂中必要到场高氯酸铵充当高性能氧化剂,进步比冲。但是,天下上90%以上的高氯酸铵是中国生产的,另有用来添补炮弹的高氮硝化棉,也多数来自中国。因此,假如中国克制向美国出口原质料,在短时间内,美国根本没有办法找到更换供应商,就算重修生产线,也不是一时半会能搞定的变乱了。 相反,装备了CL20的解放军在炸药威力方面将为虎傅翼,以远火营为例,一个满编的远火营通常设置12门03式远火,一门03式远火可以装填12发弹药,一发弹药的战斗部装药235千克,那么一个远火营一轮齐射最多可以发射144发火箭弹,这就相称于把将近34吨的CL20扔在了敌军头上,其爆炸威力相称于百吨TNT当量,可以轻易抹去一个城镇。 你以为这就完了?不!CL20虽好,但在火力不敷恐惊症患者眼中,那还不敷!中国已经开始了第五代炸药的研究--全氮炸药! 2017年南京理工大学化工学院胡炳成教授的研究团队乐成合成了天下首个全氮阴离子盐,它的物质能量非常高,大部分时间能到达10万到100万焦耳/克的级别,相称于传统TNT炸药的10倍以致百倍! 假如全氮炸药投入实用,那是怎样一个精美的画面?大概我们手中的一枚单兵火箭筒,就能顶上一枚战斧导弹的威力!而一个远火营一次射击,根本上就相称于一颗战术核武器的当量! 大概,这对一个火力不敷恐惊症晚期患者,大概是治疗的最佳药方了吧? |

专注IT众包服务
平台只专注IT众包,服务数 十万用户,快速解决需求

资金安全
交易资金托管平台,保障资 金安全,确认完成再付款

实力商家
优秀软件人才汇集,实力服务商入驻,高效解决需求

全程监管
交易过程中产生纠纷,官方100%介入受理,交易无忧

微信访问
手机APP